• Toggle Accessibility Statement
  • Home
  • Skip to Main Content
  • Sitemap
×
  • Home
  • About
    • Overview
      • Our History
      • Vision, Mission, Core Values and Mandate
    • SDO Organizational Structure
    • DepEd Data Privacy
      • Data Privacy Notice
    • Citizen’s Charter
    • Careers
      • Job Opening
    • Transparency Seal
  • Issuances
    • Advisory
    • Division Memorandum
    • Unnumbered Memorandum
    • Regional Memoranda
  • Resources
    • EPT Results
    • SDO Training
  • BAC
    • Invitation to Bid
    • Bid Opportunities
    • Notice to Award
    • Notice to Proceed
    • Annual Procurement Plan
  • Services
    • Office of the Schools Division Superintendent
    • Curriculum Implementation Division
    • School Governance and Operations Division
  • Links
    • DepEd Microsite by USD-ICTS-CO
    • SDO Document Tracking System
    • SDO Online Application Forms
  • QSM
  • PrimeHR
  • AUXILIARY MENU
Menu
GOVPH
  • GOVPH
  • Home
  • About
    • Overview
      • Our History
      • Vision, Mission, Core Values and Mandate
    • SDO Organizational Structure
    • DepEd Data Privacy
      • Data Privacy Notice
    • Citizen’s Charter
    • Careers
      • Job Opening
    • Transparency Seal
  • Issuances
    • Advisory
    • Division Memorandum
    • Unnumbered Memorandum
    • Regional Memoranda
  • Resources
    • EPT Results
    • SDO Training
  • BAC
    • Invitation to Bid
    • Bid Opportunities
    • Notice to Award
    • Notice to Proceed
    • Annual Procurement Plan
  • Services
    • Office of the Schools Division Superintendent
    • Curriculum Implementation Division
    • School Governance and Operations Division
  • Links
    • DepEd Microsite by USD-ICTS-CO
    • SDO Document Tracking System
    • SDO Online Application Forms
  • QSM
  • PrimeHR
    • Accessibility Statement
    • High Contrast
    • Skip to Content
    • Skip to Footer
    • Default Text Size
    • Reduce Text Size - -
    • Enlarge Text Size + +

Philippine Standard Time:

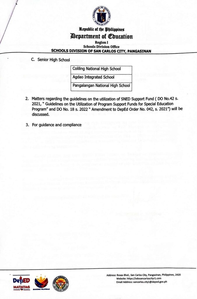
Division Memorandum No. 400 s, 2025 – VIRTUAL MEETING OF 2025 SPECIAL NEEDS EDUCATION (SNED) PROGRAM SUPPORT FUND RECIPIENT SCHOOLS

Posted on February 3, 2025 by Admin-NAF

Calendar

February 2026
S M T W T F S
1234567
891011121314
15161718192021
22232425262728
« Jan    

Customer Satisfaction Measurement

We are committed to serving you better.

Please take a moment to share your thoughts by completing our Client Satisfaction Survey.

Simply scan the QR code or use the provided link to access the survey.

Thank you for helping us improve!

Official SDO Facebook

Official SDO Hymn

Transparency Seal

transparency seal logo

Latest Posts

  • Division Memorandum No. 072 s, 2026 – CALL FOR NOMINATION FOR THE GATORADE FUEL TOMORROW ACADEMY (GFTA) – PLAYER OF THE YEAR AWARD 2025-2026 Enclosures: https://drive.google.com/…/1Z4IofvdCH0B2XNoyBASK7p…/view
  • Division Memorandum No. 071 s, 2026 – ORIENTATION ON THE RECRUITMENT AND HIRING GUIDELINES FOR TEACHER I APPLICANTS FOR THE SCHOOL YEAR 2026-2027
  • Division Memorandum No. 070 s, 2026 – CONDUCT OF ONSITE VALIDATION FOR THE SEARCH FOR THE MOST OUTSTANDING SCHOOL-BASED FEEDING PROGRAM (SBFP) IMPLEMENTERS FOR SY 2025-2026, SEARCH FOR THE MOST FUNCTIONAL GULAYAN SA PAARALAN PROGRAM (GPP) IMPLEMENTERS FOR SY 2025-2026, AND PROGRESS MONITORING FOR CANTEEN OPERATIONS
  • Division Memorandum No. 069 s, 2026 – Coordination Meeting of the 2026 Division Festival of Talents (DFOT’s) Technical Working Group (TWG)
  • Division Memorandum No. 068 s, 2026 – SY 2025-2026 DIVISION SCHOOLS PRESS CONFERENCE