• Toggle Accessibility Statement
  • Home
  • Skip to Main Content
  • Sitemap
×
  • Home
  • About
    • Overview
      • Our History
      • Vision, Mission, Core Values and Mandate
    • SDO Organizational Structure
    • DepEd Data Privacy
      • Data Privacy Notice
    • Citizen’s Charter
    • Careers
      • Job Opening
    • Transparency Seal
  • Issuances
    • Advisory
    • Division Memorandum
    • Unnumbered Memorandum
    • Regional Memoranda
  • Resources
    • EPT Results
    • SDO Training
  • BAC
    • Invitation to Bid
    • Bid Opportunities
    • Notice to Award
    • Notice to Proceed
    • Annual Procurement Plan
  • Services
    • Office of the Schools Division Superintendent
    • Curriculum Implementation Division
    • School Governance and Operations Division
  • Links
    • DepEd Microsite by USD-ICTS-CO
    • SDO Document Tracking System
    • SDO Online Application Forms
  • QMS
  • PrimeHR
  • AUXILIARY MENU
Menu
GOVPH
  • GOVPH
  • Home
  • About
    • Overview
      • Our History
      • Vision, Mission, Core Values and Mandate
    • SDO Organizational Structure
    • DepEd Data Privacy
      • Data Privacy Notice
    • Citizen’s Charter
    • Careers
      • Job Opening
    • Transparency Seal
  • Issuances
    • Advisory
    • Division Memorandum
    • Unnumbered Memorandum
    • Regional Memoranda
  • Resources
    • EPT Results
    • SDO Training
  • BAC
    • Invitation to Bid
    • Bid Opportunities
    • Notice to Award
    • Notice to Proceed
    • Annual Procurement Plan
  • Services
    • Office of the Schools Division Superintendent
    • Curriculum Implementation Division
    • School Governance and Operations Division
  • Links
    • DepEd Microsite by USD-ICTS-CO
    • SDO Document Tracking System
    • SDO Online Application Forms
  • QMS
  • PrimeHR
    • Accessibility Statement
    • High Contrast
    • Skip to Content
    • Skip to Footer
    • Default Text Size
    • Reduce Text Size - -
    • Enlarge Text Size + +

Philippine Standard Time:

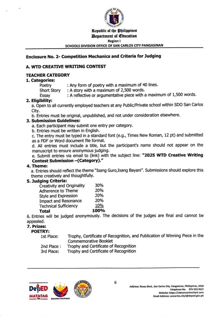
Division Memorandum No. 396 s, 2025 – 2025 NATIONAL TEACHERS’ MONTH CELEBRATION

Posted on August 1, 2025 by Admin-NAF

Calendar

May 2026
S M T W T F S
 12
3456789
10111213141516
17181920212223
24252627282930
31  
« Apr    

Customer Satisfaction Measurement

We are committed to serving you better.

Please take a moment to share your thoughts by completing our Client Satisfaction Survey.

Simply scan the QR code or use the provided link to access the survey.

Thank you for helping us improve!

Official SDO Facebook

Official SDO Hymn

Transparency Seal

transparency seal logo

Latest Posts

  • 2026-05-21-003-NOTICE OF AWARD AND RESOLUTION OF AWARD OF THE PROCUREMENT OF MEALS AND SNACKS INCLUSIVE OF TARPAULIN, VENUE AND ACCOMMODATION FOR THE CONDUCT OF DIVISION CAPABILITY BUILDING ON LEADERSHIP THROUGH MENTORING AND COACHING FOR MASTER TEACHERS, HEAD TEACHERS AND UNTRAINED SCHOOL HEADS
  • 2026-05-21-002- NOTICE OF AWARD AND RESOLUTION TO AWARD OF PROCUREMENT OF MEALS AND SNACKS INCLUSIVE OF TARPAULIN, VENUE AND ACCOMMODATION FOR THE CONDUCT OF DIVISION WORKSHOP ON ADVANCING HRD POLICIES AND PROGRAMS
  • 2026-05-21-001-NOTICE OF AWARD AND RESOLUTION TO AWARD OF THE PROCUREMENT OF MEALS AND SNACKS INCLUSIVE OF TARPAULIN, VENUE AND ACCOMMODATION FOR THE CONDUCT OF DIVISION CAPABILTY BUILDING ON LEADERSHIP THROUGH MENTORING AND COACHING OF MASTER TEACHERS, HEAD TEACHERS AND UNTRAINED SCHOOL HEADS
  • Division Memorandum No. 167 s, 2026 – PARTICIPATION TO THE LECTURE ON CERVICAL CANCER AWARENESS
  • Division Memorandum No. 166 s, 2026 – CONDUCT OF THE 4TH YOUTH SUMMARY