Toggle Accessibility Statement
Home
Skip to Main Content
Sitemap
This website adopts the Web Content Accessibility Guidelines (WCAG 2.0) as the accessibility standard for all its related web development and services. WCAG 2.0 is also an international standard, ISO 40500. This certifies it as a stable and referenceable technical standard. WCAG 2.0 contains 12 guidelines organized under 4 principles: Perceivable, Operable, Understandable, and Robust (POUR for short). There are testable success criteria for each guideline. Compliance to these criteria is measured in three levels: A, AA, or AAA. A guide to understanding and implementing Web Content Accessibility Guidelines 2.0 is available at: https://www.w3.org/TR/UNDERSTANDING-WCAG20/ Accessibility Features Shortcut Keys Combination Activation Combination keys used for each browser. Chrome for Linux press (Alt+Shift+shortcut_key) Chrome for Windows press (Alt+shortcut_key) For Firefox press (Alt+Shift+shortcut_key) For Internet Explorer press (Alt+Shift+shortcut_key) then press (enter) On Mac OS press (Ctrl+Opt+shortcut_key) Accessibility Statement (Combination + 0): Statement page that will show the available accessibility keys. Home Page (Combination + H): Accessibility key for redirecting to homepage. Main Content (Combination + R): Shortcut for viewing the content section of the current page. FAQ (Combination + Q): Shortcut for FAQ page. Contact (Combination + C): Shortcut for contact page or form inquiries. Feedback (Combination + K): Shortcut for feedback page. Site Map (Combination + M): Shortcut for site map (footer agency) section of the page. Search (Combination + S): Shortcut for search page. Press esc, or click the close the button to close this dialog box.
×
×
Home
About
Overview
Our History
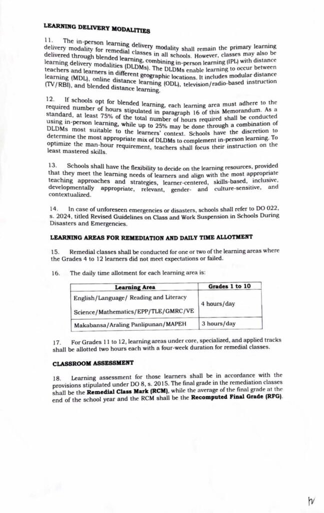
Vision, Mission, Core Values and Mandate
SDO Organizational Structure
DepEd Data Privacy
Data Privacy Notice
Citizen’s Charter
Careers
Job Opening
Transparency Seal
Issuances
Advisory
Division Memorandum
Unnumbered Memorandum
Regional Memoranda
Resources
EPT Results
SDO Training
BAC
Invitation to Bid
Bid Opportunities
Notice to Award
Notice to Proceed
Annual Procurement Plan
Services
Office of the Schools Division Superintendent
Curriculum Implementation Division
School Governance and Operations Division
Links
DepEd Microsite by USD-ICTS-CO
SDO Document Tracking System
SDO Online Application Forms
QSM
PrimeHR
AUXILIARY MENU
Menu
☰
GOVPH
GOVPH
Home
About
Overview
Our History
Vision, Mission, Core Values and Mandate
SDO Organizational Structure
DepEd Data Privacy
Data Privacy Notice
Citizen’s Charter
Careers
Job Opening
Transparency Seal
Issuances
Advisory
Division Memorandum
Unnumbered Memorandum
Regional Memoranda
Resources
EPT Results
SDO Training
BAC
Invitation to Bid
Bid Opportunities
Notice to Award
Notice to Proceed
Annual Procurement Plan
Services
Office of the Schools Division Superintendent
Curriculum Implementation Division
School Governance and Operations Division
Links
DepEd Microsite by USD-ICTS-CO
SDO Document Tracking System
SDO Online Application Forms
QSM
PrimeHR
Accessibility Button
Accessibility Statement
High Contrast
Skip to Content
Skip to Footer
Accessibility Button
Default Text Size
Reduce Text Size
- -
Enlarge Text Size
+ +
Philippine Standard Time:
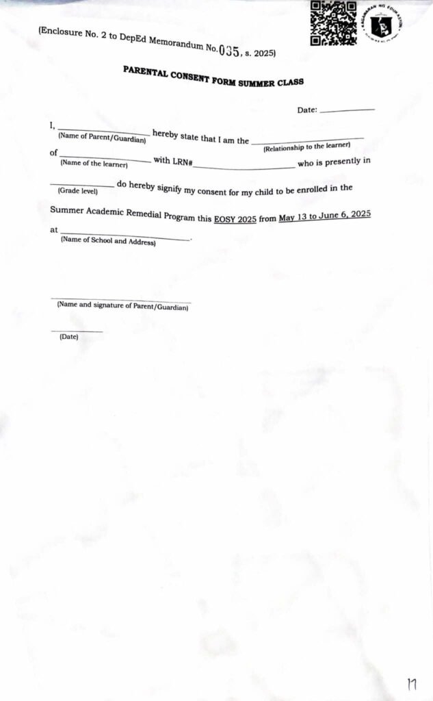
Division Memorandum No. 182 s, 2025 – CONDUCT OF 2025 DEPARTMENT OF EDUCATION SUMMER PROGRAMS
Posted on
April 23, 2025
by
Admin-NAF